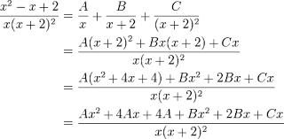
In class, we learned about partial fraction decompositions. Partial-fraction decomposition is the process
of starting with the simplified answer and taking it back apart, of "decomposing"
the final expression into its initial polynomial fractions. To decompose a fraction, you first factor
the denominator. Then you write the fractions with one of
the factors for each of the denominators.
Then you set this sum equal to the simplified
result. Multiply things out, and group the x-terms
and the constant term.

No comments:
Post a Comment